高级检索

氮氧自由基衍生物及其生物活性的研究进展

Research progress of nitroxide radical derivatives and their biological activities

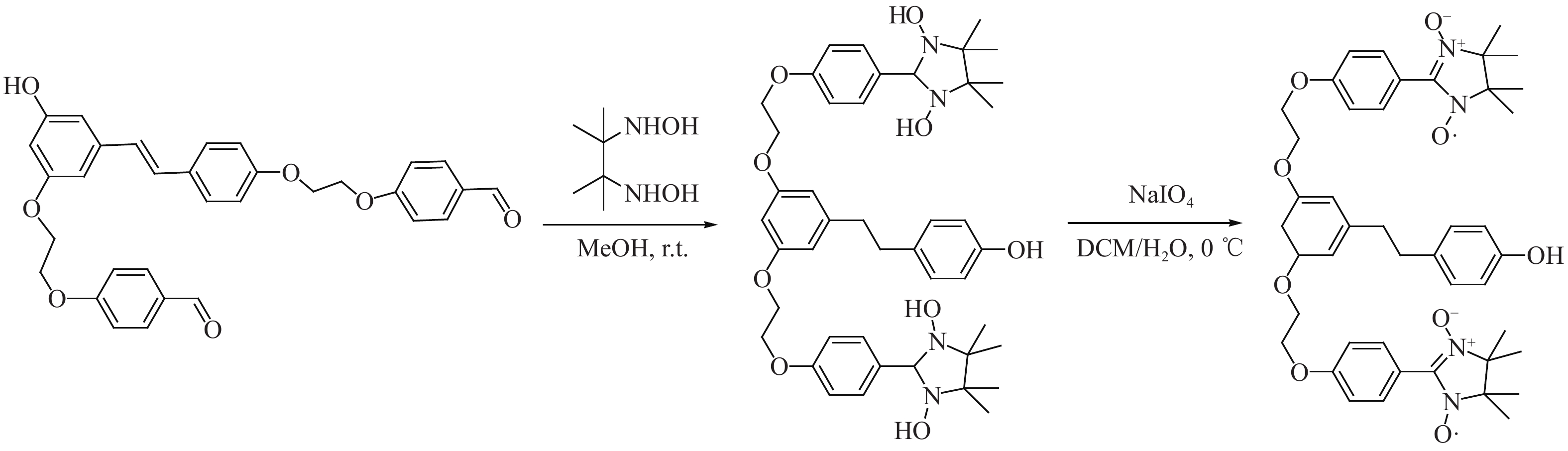
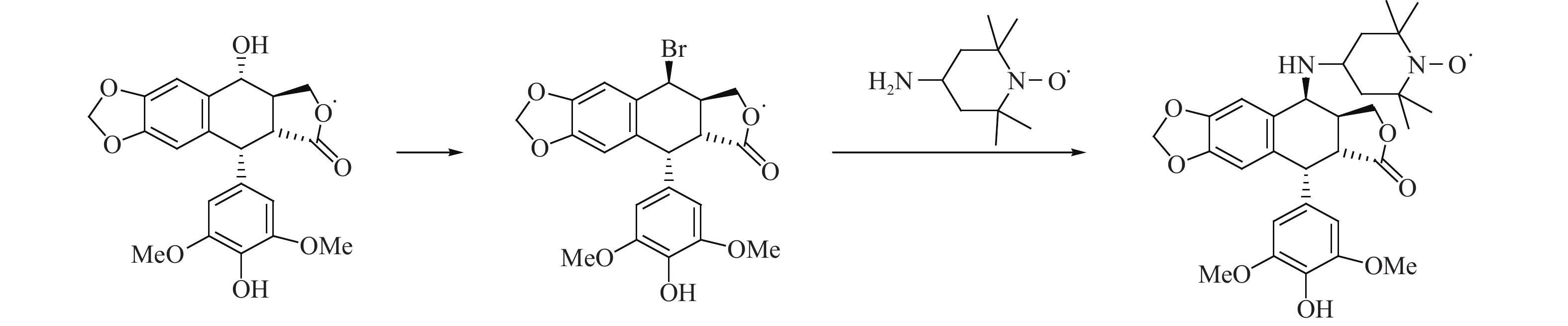
  • 摘要: 氮氧自由基是一类稳定的有机自由基,因其结构中具有N-O·及未成对电子等而表现出诸多特性,可作为自旋标记物用于探索生物反应机制,具有磁学性质可用于多功能磁性分子材料的开发,具有阻聚和催化作用可用于有机反应中的阻聚剂和催化剂等。更重要的是其具有抗氧化、抗肿瘤等多种生物活性,在新药的研发方面备受人们关注,如将氮氧自由基自旋标记于抗癌药物鬼臼毒素可起到增效减毒,易于机体吸收等作用,得到了新的抗癌药物4-4″-(2″,2″,6″,6″-四甲基哌啶氮氧自由基)氨基-4′-去甲基表鬼臼毒(GP-7)。通过引入药效团对氮氧自由基进行结构修饰,或将其自旋标记于中药活性成分等,从而得到高效低毒的新化合物,是寻求新药物的有效途径。对新型氮氧自由基衍生物及其生物活性等方面的研究进行归纳总结,旨在为开发利用氮氧自由基,寻找治疗疾病新药物提供理论依据。

     

    Abstract: Nitroxide radicals are a kind of stable organic free radicals. Due to the presence of N-O· and unpaired electrons in its structure, it has many characteristics, and thus can be used as a spin marker to explore the mechanism of biological reactions; with its magnetic properties, it can be used for the development of multifunctional magnetic molecular materials and used as a polymerization inhibitor and catalyst in organic reactions. More importantly, it has a variety of biological activities such as anti-oxidation and anti-tumor, and so has attracted much attention in the research and development of new drugs. For example, the spin labeling of nitroxide radicals on anticancer drug podophyllotoxin can enhance the efficacy and reduce the toxicity, and can be easily to be absorbed by the body, thus obtaining a new anti-cancer drug 4-4″-(2″,2″,6″,6″-tetramethyl-1″-piperidinyloxy nitroxide radical) amino-4′-demethyl epipodophyllotoxin(GP-7). It is an effective way to seek new drugs by introducing pharmacophore to modify nitroxide radicals or it can be spin-labeled on active natural products to obtain new compounds with high efficiency and low toxicity. The research progress of derivatives and its biological activitives of nitroxide radicals are summarized, aiming to provide theoretical basis for the developing and utilizing of nitroxide radicals and searching for new drugs.

     

/

返回文章
返回