高级检索

3, 3-二甲基-1-丁醇抑制肠道三甲胺生成可缓解溃疡性结肠炎及继发性肝损伤

3, 3-Dimethyl-1-butanol attenuates ulcerative colitis and secondary liver injury by reducing trimethylamine production

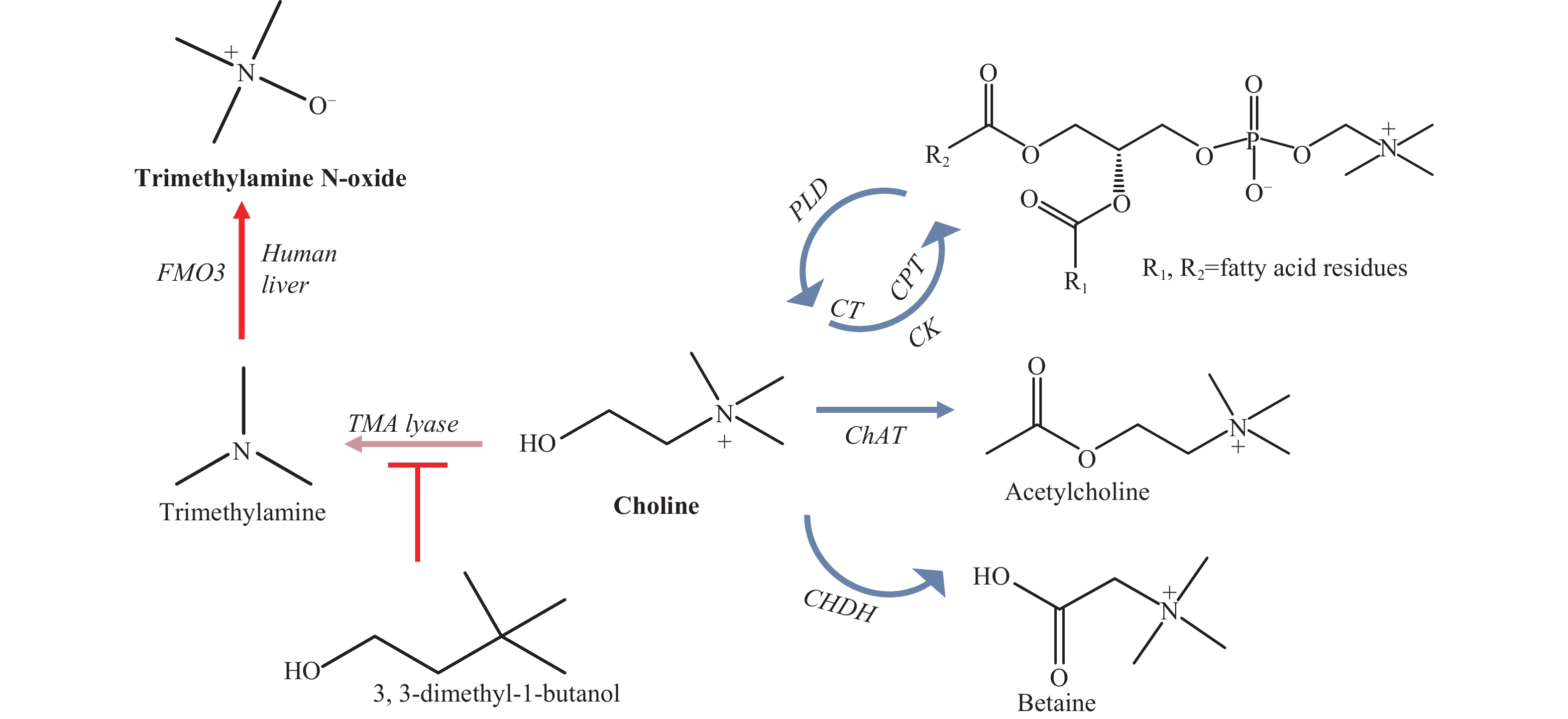
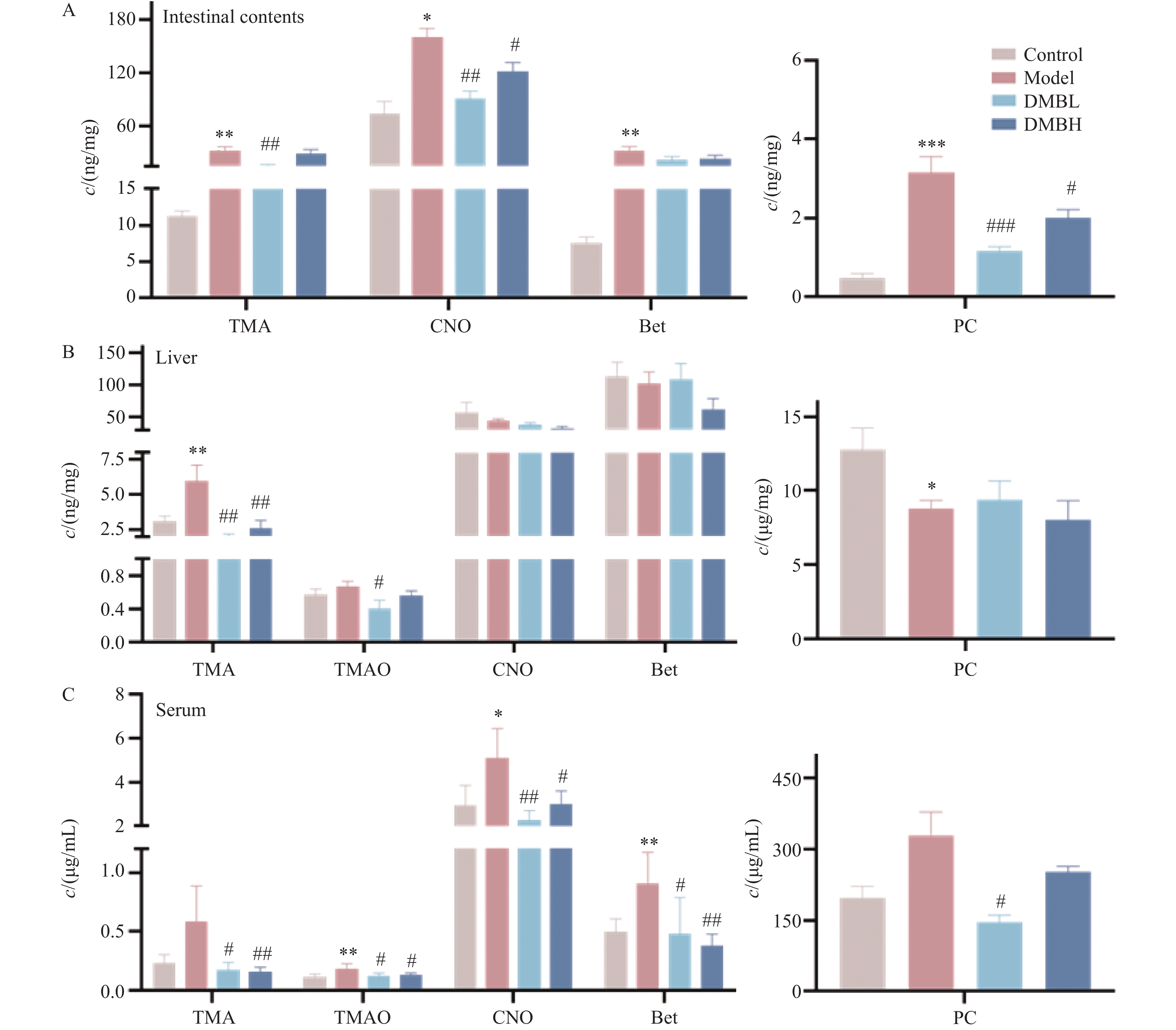
  • 摘要: 溃疡性结肠炎(ulcerative colitis,UC)是多种因素导致的肠道慢性疾病,严重的肠炎会引起肝脏损伤。肠道炎症诱发菌群紊乱,导致肠道中过多的胆碱转化为三甲胺;宿主中过低的胆碱生物利用度是造成肝脏损伤的重要原因。3,3-二甲基-1-丁醇(3,3-dimethyl-1-butanol,DMB)作为胆碱的结构类似物,可有效抑制肠道中胆碱转化为三甲胺,本研究旨在探究DMB能否通过减少肠道内的胆碱的不良转化来改善UC小鼠结肠炎症及继发性肝损伤。采用葡聚糖硫酸钠诱导的结肠炎模型,造模结束后,评估结肠及肝组织病理,检测肝功能相关生化指标,使用超高效液相色谱串联质谱法检测UC所致的体内胆碱代谢变化。结果表明,DMB能够减轻UC小鼠体重下降指数,缓解结肠炎症,减少肝脏损伤,对小鼠的血清、肠道内容物与肝脏进行胆碱相关代谢物的检测,发现DMB能够有效抑制肠道中胆碱转化为三甲胺,提高宿主的胆碱利用度,有效缓解结肠炎的恶化,从而减少由于严重的肠道病变导致的肝脏受损。

     

    Abstract: Ulcerative colitis (UC) is a chronic intestinal disease caused by a variety of factors. Severe intestinal inflammation can also cause liver injury. Based on the previous research, microbial dysbiosis in the inflammatory state leads to the conversion of excess choline into trimethylamine (TMA) by the intestinal flora, which competes with the host for the use of the nutrient choline, and induces liver injury. 3, 3-dimethyl-1-butanol (DMB), a structural analogue of choline, can reduce TMA levels from choline conversion. The aim of this study was to investigate the protective effect and possible mechanism of DMB on UC and secondary liver injury. Dextran sulfate sodium-induced acute colitis model in mice was established. The weight of mice, and collected serum, liver and intestinal contents after mice sacrifice were measured. The morphological changes of colon and liver were observed; liver function was detected with the kit of biochemical indexes; UHPLC-MS/MS was applied to detect changes in choline metabolism in vivo. The experimental results showed that DMB could attenuate body weight loss index, improve colonic inflammation, and reduce liver injury in UC mice. The detection of choline-related metabolites in serum, intestinal contents and liver showed that DMB could effectively inhibit the production of trimethylamine in the intestine, improve the availability of host choline, effectively alleviate colitis deterioration, and reduce liver damage caused by severe intestinal lesions.

     

/

返回文章
返回