高级检索

赖氨酸特异性去甲基化酶1(LSD1)抑制剂的研究进展

Research progress of lysine specific demethylase 1 (LSD1) inhibitors

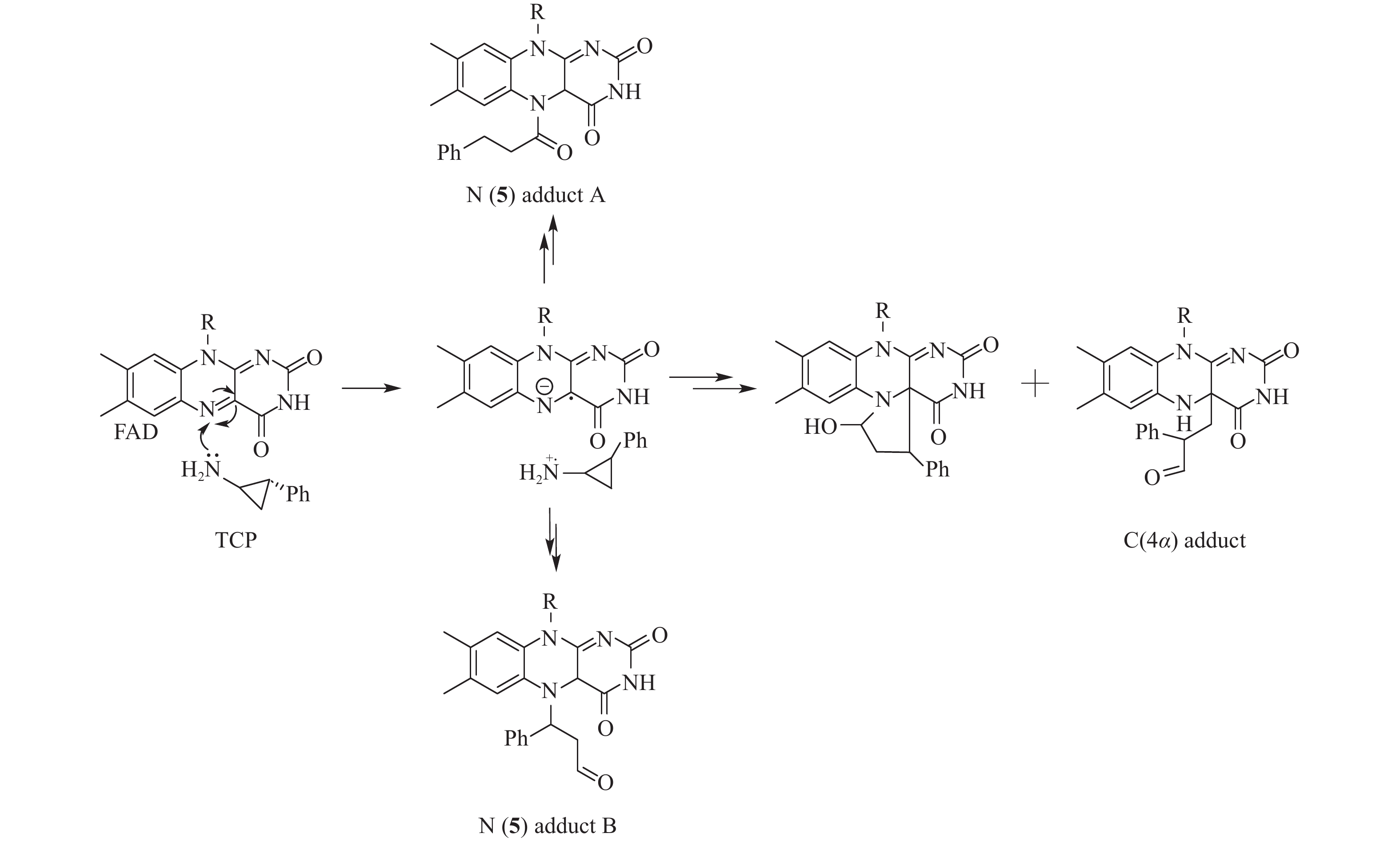
  • 摘要: 赖氨酸特异性去甲基化酶1(LSD1)是一种黄素腺嘌呤二核苷酸(FAD)依赖的单胺氧化酶。研究证实,LSD1的异常表达与肿瘤的转移和增殖密切相关,是目前肿瘤靶向治疗的重要靶点之一。另外,LSD1还参与神经退行性疾病、心血管疾病、炎症反应等多种疾病的发生发展。目前,已经有多个抑制剂进入临床研究阶段。本文对LSD1的结构、作用机制以及LSD1抑制剂的研究进展作简要介绍,为设计开发新型LSD1抑制剂提供参考。

     

    Abstract: Lysine specific demethylase1 (LSD1) is a flavin adenine dinucleotide (FAD)-dependent monoamine oxidase. Studies have confirmed that aberrant expression of LSD1 is closely related to tumor metastasis and proliferation, and is currently one of the important targets for tumor-targeted therapy. In addition, LSD1 is involved in the development of various conditions such as neurodegenerative diseases, cardiovascular diseases, and inflammatory responses. Currently, several inhibitors have been developed for the clinical research stage. In this paper, the structure and mechanism of action of LSD1 and the research progress of LSD1 inhibitors are briefly introduced to provide some reference for the design and development of novel LSD1 inhibitors.

     

/

返回文章
返回