高级检索

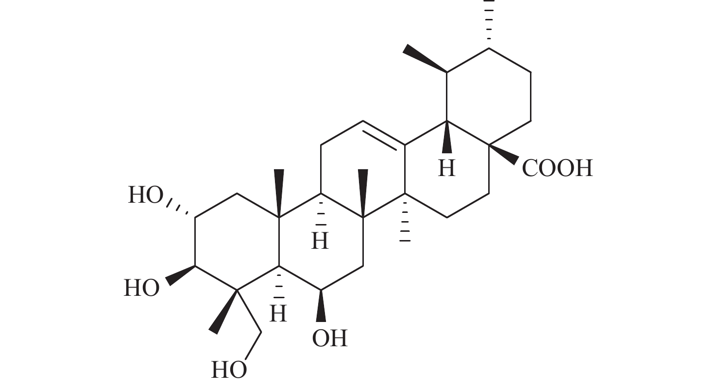
羟基积雪草酸的镇痛活性及其作用机制研究

Anti-nociceptive effect and mechanism of madecassic acid

  • 摘要: 目前对积雪草的功效成分研究主要集中在三萜皂苷类成分,对其他成分的药理活性研究较少。本研究采用小鼠醋酸扭体实验、热板法实验和福尔马林实验,对羟基积雪草酸的镇痛活性进行探究。实验分为对照组、阳性药阿司匹林组和低(10 mg/kg)、中(20 mg/kg)、高(40 mg/kg)剂量的羟基积雪草酸(MA)组。同时,还采用阿片受体阻断实验,辣椒素和谷氨酸诱导的小鼠舔爪实验,对其镇痛机制进行研究。结果显示:MA在醋酸扭体实验和福尔马林实验的Ⅱ阶段表现出显著的镇痛活性;在醋酸扭体实验和福尔马林实验中,MA的镇痛活性没有被纳洛酮明显减弱;中、高剂量的MA均能有效地减轻由辣椒素所引起的疼痛,抑制率分别为29.5%和64.4%,还能有效地缩减由谷氨酸所引起的舔爪时间,抑制率分别为30.9%和56.1%。研究结果表明:MA可通过作用于外周神经系统发挥较好的镇痛作用;该化合物产生的镇痛活性可能涉及谷氨酸能系统和TRPV1的调节,但不涉及阿片能系统。

     

    Abstract: To date, the investigation of the functional composition of Centella asiatica (L.) Urban has been mainly focused on the triterpenoid saponins, with little research on the other compositions. The acetic acid-induced writhing, Eddy's hot plate and formalin tests were employed to investigate the anti-nociceptive effects of madecassic acid (MA). The experiment was divided into normal control group, acetylsalicylic acid (ASA) group, and the MA groups of low (10 mg/kg), medium (20 mg/kg) and high (40 mg/kg) dosage. Meanwhile, the anti-nociceptive effect of MA on the acetic acid and formalin-induced nociceptive models in the absence and presence of NAL (naloxone hydrochloride) was evaluated. To have an insight into the anti-nociceptive mechanisms of MA, the capsaicin- and glutamate-induced paw licking tests were also employed to evaluate the involvement of the vanilloid and glutamatergic systems, respectively. Results showed that MA exhibited good anti-nociceptive activity in the acetic acid-induced writhing test and the second phase of formalin test; the anti-nociceptive effect of MA in both the acetic acid and formalin-induced nociception was not effectively removed by NAL; MA (20 mg/kg and 40 mg/kg) effectively reduced the duration of biting/licking the capsaicin-injected paw with inhibition rates of 29.5% and 64.4%, respectively; MA (20 mg/kg and 40 mg/kg) distinctly shortened the time spent in biting/licking the glutamate-injected paw by 30.9% and 56.1%, respectively. In summary, MA induces significant peripheral anti-nociceptive effect, and the anti-nociceptive activities probably involve the modulation of glutamatergic systems and vanilloid systems (TRPV1) instead of the opioidergic system.

     

/

返回文章
返回