高级检索

靶向PD-1/PD-L1的新策略:降解剂、双功能分子及共价抑制剂

New strategies for targeting PD-1/PD-L1: degraders, bifunctional molecules and covalent inhibitors

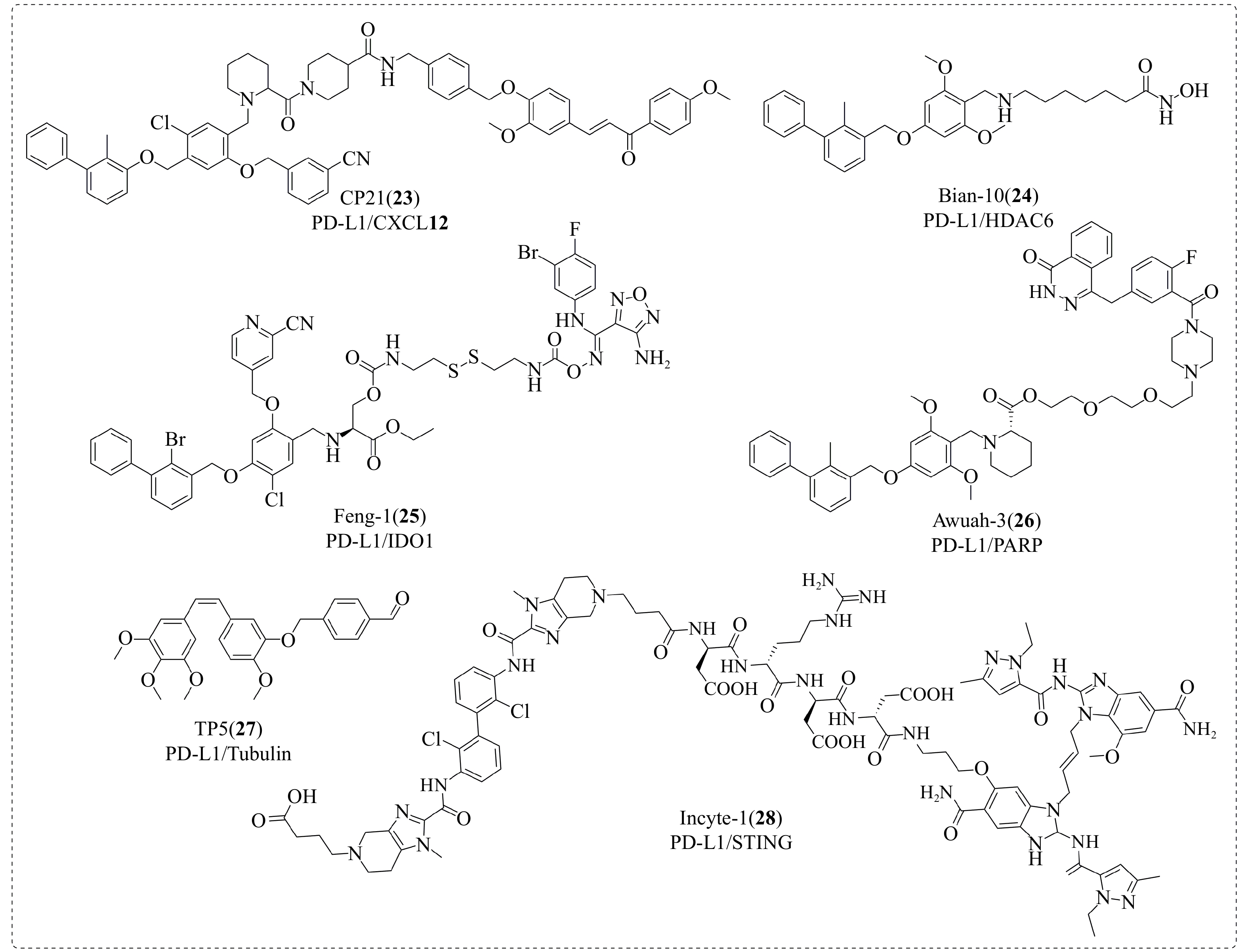
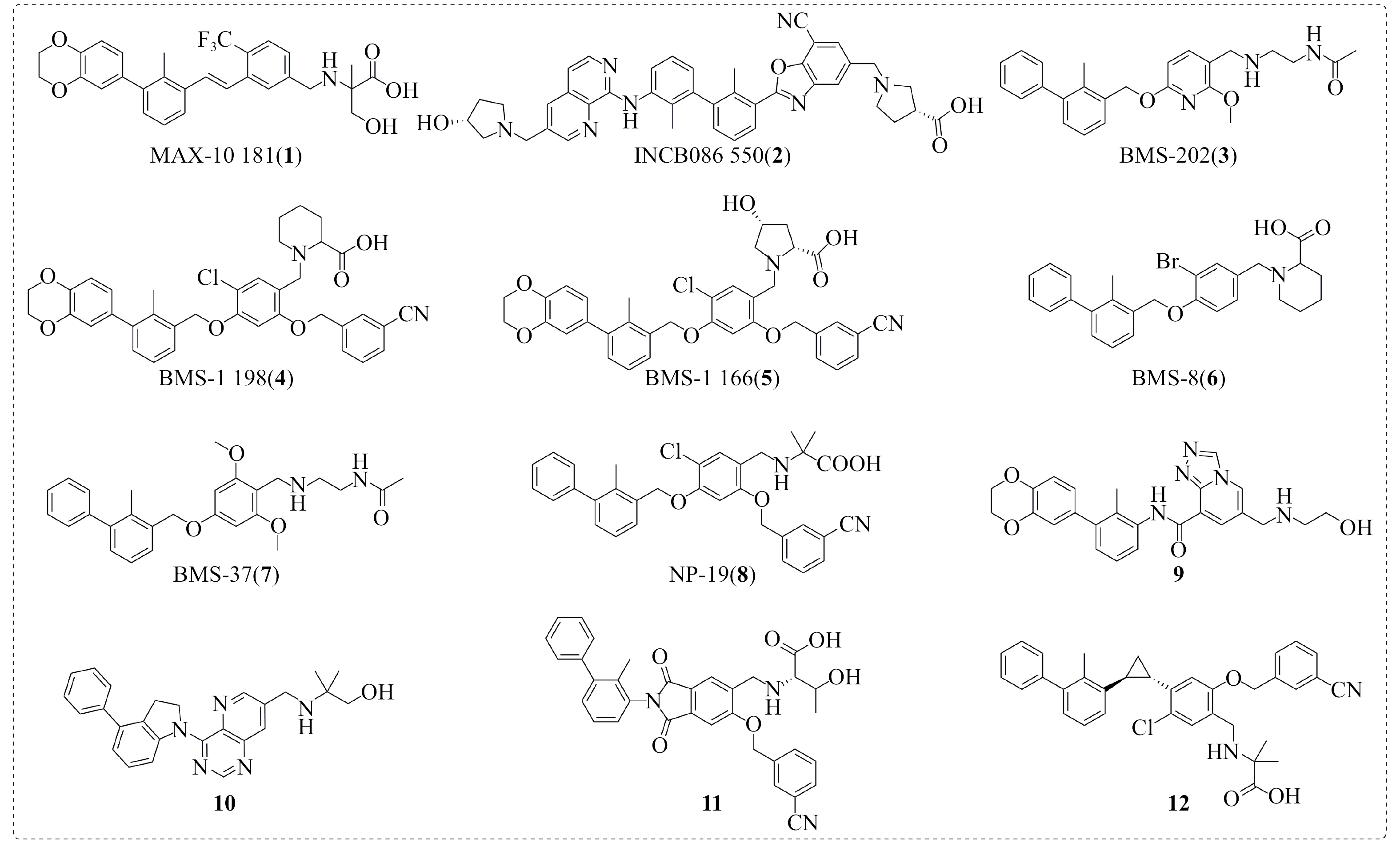
  • 摘要: 靶向细胞程序性死亡受体-1(programmed cell death protein-1, PD-1)/细胞程序性死亡配体-1(programmed cell death ligand-1, PD-L1)已成为最具前景的肿瘤免疫治疗靶点之一。目前,PD-1/PD-L1单克隆抗体药物及小分子抑制剂都面临着相应的发展瓶颈,许多研究者尝试探索不同的策略以阻断PD-L1/PD-L1通路,期望改善肿瘤治疗的效果。本文总结了靶向PD-L1的降解剂、双功能分子及共价抑制剂,旨在为PD-1/PD-L1药物的开发提供有益的思路。

     

    Abstract: Programmed cell death protein-1 (PD-1) / programmed cell death ligand-1 (PD-L1) has been considered to be one of the most promising targets for tumor immunotherapy. At present, both monoclonal antibody drugs and small molecule inhibitors targeting PD-1/PD-L1 are facing bottlenecks. Numerous researchers have tried to explore different strategies to block the PD-L1/PD-L1 pathway, hoping to improve the effects of tumor immunotherapy. This review focuses on the degraders, bifunctional molecules and covalent inhibitors that target PD-L1, aiming to provide inspiring insights for the development of anti-PD-1/PD-L1 drugs.

     

/

返回文章
返回