高级检索

具有抗肿瘤免疫治疗作用的铂类药物研究进展

Research progress on the antitumor effects of platinum-based chemo-immunotherapies

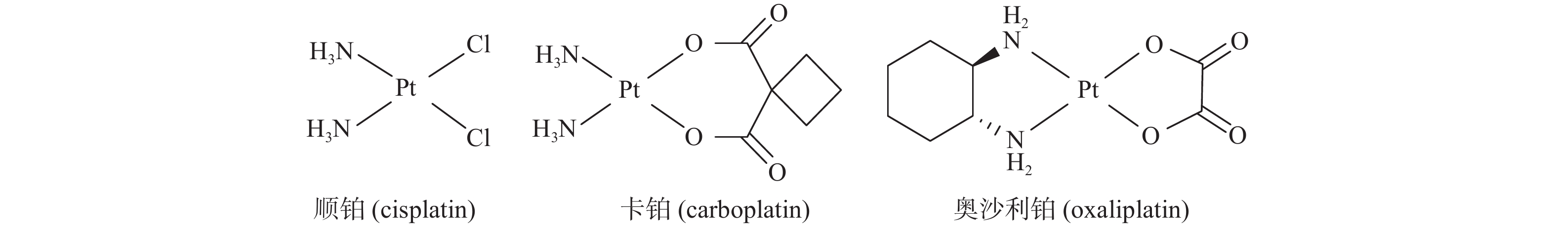
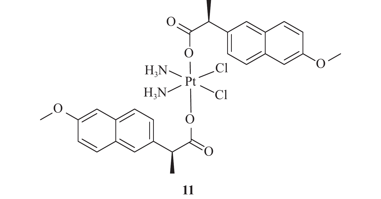
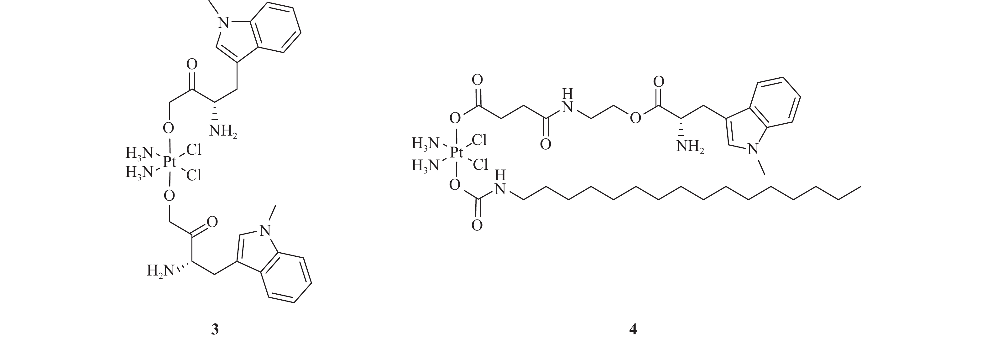
  • 摘要: 经典铂类药物是一类潜在的免疫调节剂,通过诱导免疫原性细胞死亡(ICD)来参与肿瘤免疫调节。因而可将铂类药物分子与免疫治疗药物分子或其药效团进行拼合或融合,提高协同抗肿瘤疗效。铂(Ⅱ)药物是临床化疗最常见药物,由于其副作用和耐药性等缺点,使其临床应用受限。铂(Ⅳ)配合物具有动力学惰性和优于铂(Ⅱ)配合物的药理作用机制受到广泛关注和研究。本文旨在总结近年来发表的具有免疫调节功能的抗肿瘤铂配合物,通过化疗协同免疫疗法提高抗肿瘤疗效,为具有免疫功能的铂类药物的进一步研发和未来临床应用提供依据。

     

    Abstract: As potential immunomodulators, platinum-based drugs could trigger immunogenic cell death (ICD). Hence, combination of platinum-based chemotherapy and immunotherapy could have better synergistic anticancer effect. Pt(II)-based drugs are the most common chemotherapeutic agents in cancer treatment yet with limited clinical application due to their toxic side-effects and drug resistance. Pt(IV) complexes have been widely investigated in the past decades due to their kinetic inertness and unique mechanisms . This article summarizes the progress in the pharmacological activities and mechanisms of Pt(IV) antitumor complexes via introducing different immunomodulators into chemotherapeutic agents in literature over recent years and highlights the potential targets and molecular signaling pathways so as to provide some reference for further development and potential clinical application of platinum-based chemo-immunotherapeutic agents.

     

/

返回文章
返回