高级检索

BTK/JAK3双靶点抑制剂的设计合成和生物活性评价

Design, synthesis and biological study of BTK/JAK3 dual-target inhibitors

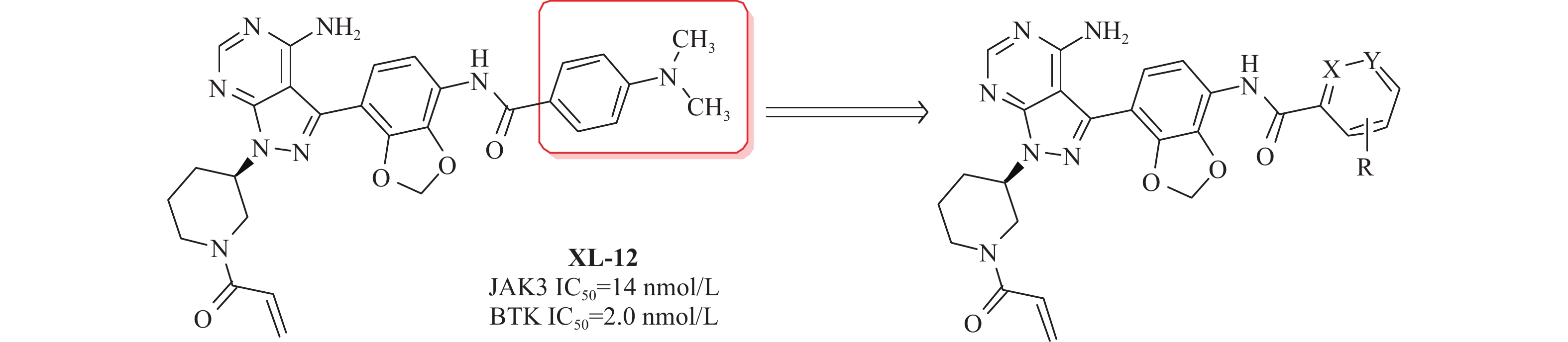
  • 摘要: 以课题组前期发现的XL-12为先导化合物,通过末端苯环的结构修饰,进一步提高化合物的抗炎活性。设计并合成了12个目标化合物。所有目标化合物的结构经1H NMR、13C NMR和HRMS确证。体外活性测试结果显示大部分化合物对布鲁顿型酪氨酸激酶(Bruton’s tyrosine,BTK) 和Janus激酶3 (JAK3) 具有较好的酶抑制活性,化合物I-3对Daudi细胞和BaF3-JAK3细胞显示中等的细胞增殖抑制活性。在体外抗炎活性评价中,化合物I-3能有效抑制炎症因子IL-6的产生。此外,在小鼠二甲苯致耳廓肿胀模型中,化合物I-3显示出优于阳性药依鲁替尼(ibrutinib)的抗炎活性。

     

    Abstract: In the present study, the compound XL-12 from our previous work was utilized as a lead compound. Through the optimization of the terminal phenyl ring, 12 target compounds were designed and synthesized. The structures of all target compounds were confirmed by 1H NMR, 13C NMR, and H RMS. In vitro enzyme activity assay showed that most compounds demonstrated significant inhibitory activity toward Bruton’s tyrosine kinase (BTK) and Janus kinase 3 (JAK3). Among them, compound I-3 exhibited moderate cell proliferation inhibitory activity toward Daudi cells and BaF3-JAK3 cells. In the evaluation of anti-inflammatory activity in vitro, compound I-3 could effectively inhibit the production of inflammatory factors IL-6; besides, it exhibited superior anti-inflammatory activity compared to ibrutinib in xylene-induced ear swelling model in mice.

     

/

返回文章
返回