高级检索

草珊瑚地上部分倍半萜苷类成分研究

Sesquiterpenoid glycosides from the aerial parts of Sarcandra glabra

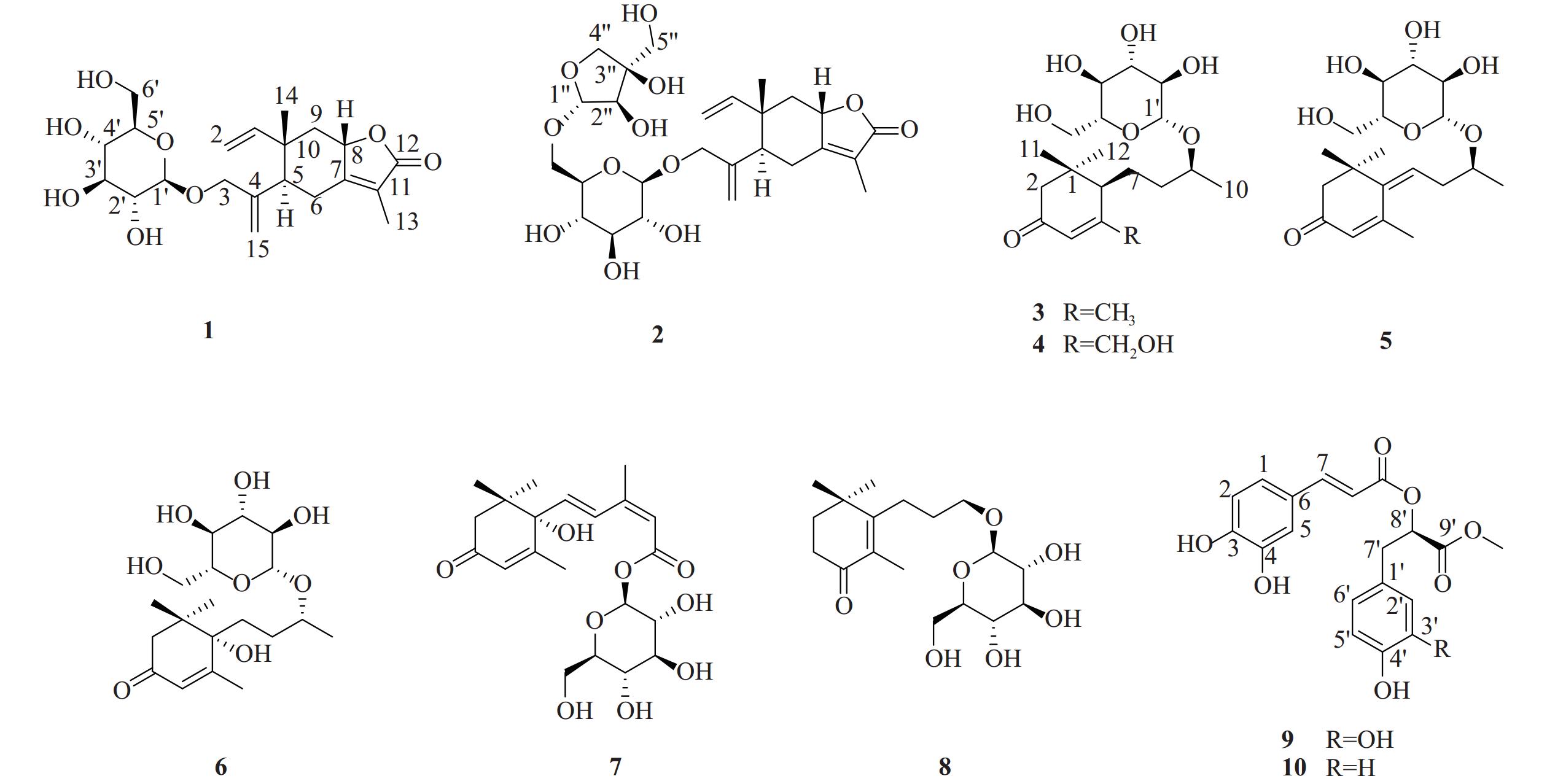
  • 摘要: 为探究金粟兰科草珊瑚属植物草珊瑚Sarcandra glabra (Thunb.) Nakai中的化学成分,采用硅胶柱色谱、聚酰胺柱色谱、凝胶柱色谱、制备高效液相色谱等色谱方法,从新鲜的草珊瑚地上部分的水萃取部位分离得到10个化合物,包括2个榄香烷倍半萜糖苷类化合物,6个紫罗兰酮类倍半萜糖苷以及2个酚酸类化合物。根据理化性质及核磁共振数据,以上化合物被鉴定为sarcaglaboside C (1)、sarcaglaboside D (2)、byzantionoside B (3)、lauroside E (4)、(4Z)-4-(3S)-3-(β-D-glucopyranosyloxy)butylidene-3,5,5-trimethyl-2-cyclohexen-1-one (5)、dihydrovomifoliol-O-β-D-glucopyranoside (6)、(+)-abscisyl-β-D-glucopyranoside (7)、9ξ-O-β-D-glucopyranosyloxy-5-megastigmen-4-one (8)、rosmarinic acid methyl ester (9)、methyl isorinate (10)。其中,化合物3~58~9首次从草珊瑚中分离得到。这些化合物的发现进一步丰富了草珊瑚植物中化合物的结构类型,并为后续药理活性研究提供了重要的物质基础。

     

    Abstract: In order to explore the chemical constituents of Sarcandra glabra (Thunb.) Nakai, 10 compounds were isolated and identified from the water extraction of fresh aerial parts of Sarcandra glabra by silica gel column chromatography, polyamide column chromatography, gel column chromatography, and preparative high-performance liquid chromatography, including 2 elemane-type sesquiterpenoid glycosides, 6 violet ketone sesquiterpenoid glycosides, and 2 phenolic acid compounds. Based on their physicochemical properties and NMR data, the above compounds have been identified as sarcaglaboside C (1), sarcaglaboside D (2), byzantionoside B (3), lauroside E (4), (4Z)-4-(3S)-3-(β-D-glucopyranosyloxy)butylidene-3,5,5-trimethyl-2-cyclohexen-1-one (5), dihydrovomifoliol-O-β-D-glucopyranoside (6), (+)-abscisyl-β-D-glucopyranoside (7), 9ξ-O-β-D-glucopyranosyloxy-5-megastigmen-4-one (8), rosmarinic acid methyl ester (9) and methyl isorinate (10). Among them, compounds 3 - 5 and 8 - 9 were firstly isolated from S. glabra. The discovery of these compounds further enriches the structural types of compounds in S. glabra plants and provides an important material basis for subsequent pharmacological activity research.

     

/

返回文章
返回