Abstract:
The present study employed UPLC-MS/MS to analyze and identify compounds in the raw powder of
Tongluo Shenggu capsules. An HPLC method for the determination of vitexin content was established. The analysis of this drug was performed on a 30 ℃ thermostatic Acquity UPLC
® BEH C
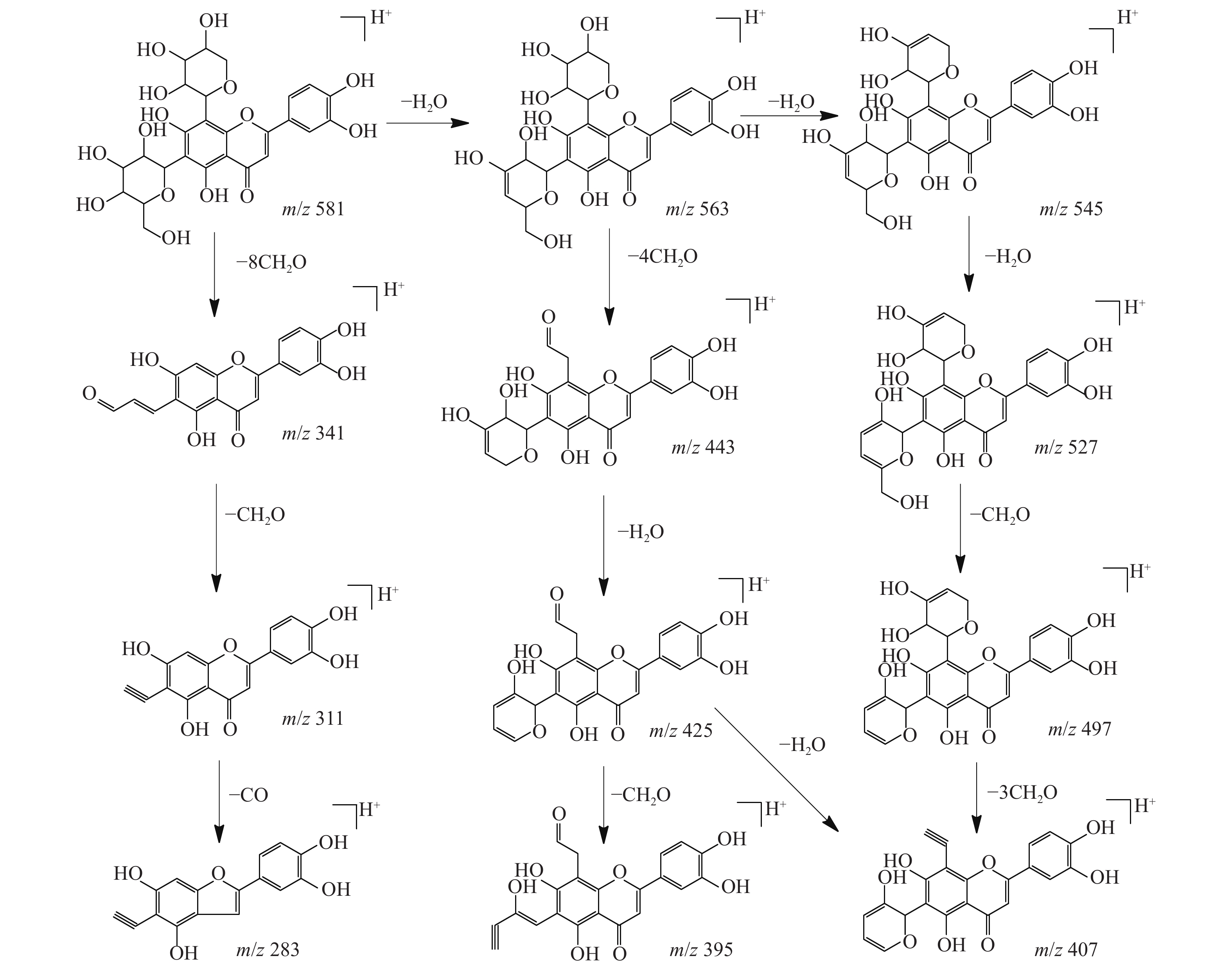
18 (2.1 mm×100 mm,1.7 μm) column, with the mobile phase comprising 0.2% formic acid-methanol flowing at 0.3 mL /min in a gradient elution manner. Mass spectrometry was detected by ESI sources in both positive and negative ion modes for qualitative identification of chemical constituents. 12 flavonoid and 3 stilbenes compounds in the raw powder of
Tongluo Shenggu capsules were successfully identified. Additionally, an HPLC method for the determination of vitexin content was established using a XBridge C
18 column (4.6 mm × 250 mm, 5 µm) with a mobile phase of 0.05% glacial acetic acid in methanol for gradient elution, at a column temperature of 30 °C, a flow rate of 1.0 mL/min, and an injection volume of 20 μL. The method demonstrated good linearity in the concentration range of 10 µg/mL to 40 µg/mL (
R=1.000) with an average recovery rate of 96.7%. The establishment of these methods provides a scientific basis for the quality control and development of the raw powder of
Tongluo Shenggu capsules.