高级检索

小分子疏水标签蛋白降解剂的研究进展

Research advances in small-molecule hydrophobic tagging protein degraders

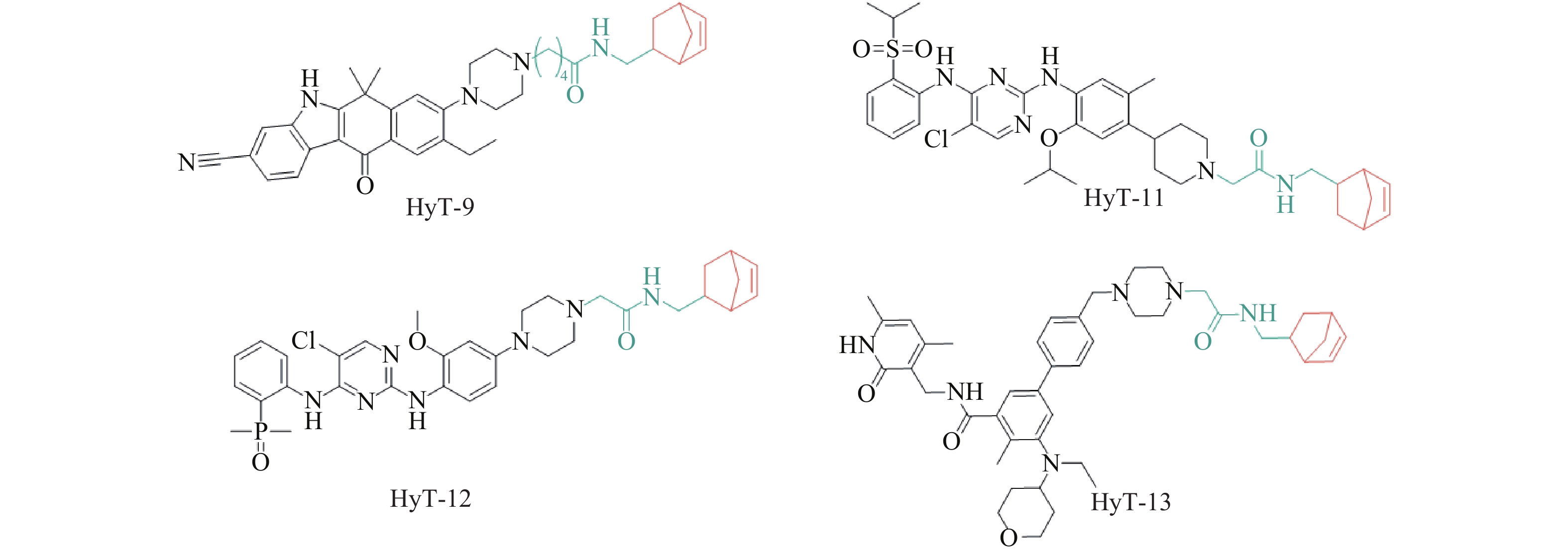
  • 摘要: 近年来,诱导靶标蛋白降解的小分子靶向蛋白降解剂发展迅速,该类分子由于能够克服传统小分子抑制剂不能应用于难成药靶标、易发耐药等问题而引起了人们极大的兴趣。其中小分子疏水标签蛋白降解剂(hydrophobic tags, HyTs)相较于其他靶向蛋白降解分子,具有更少的氢键供体/受体数量、更小的相对分子质量和较佳的药动学特性,引起了研究人员的广泛关注。本综述着重介绍了疏水标签蛋白降解剂所涉及的可能作用机制及较为热门的疏水标签类型,特别针对金刚烷这一典型的疏水标签,在癌症、神经退行性疾病等领域中的应用进行了详细介绍。但总的来讲,疏水标签目前还存在类型少、降解机制研究不够深入等问题,仍需科研人员进一步地探索,希望本综述能够对此提供有价值的参考信息。

     

    Abstract: In In recent years, small-molecule targeted protein degraders inducing protein degradation have been developing rapidly. These molecules are attracting substantial interest from researchers since they can overcome such limitations of traditional small-molecule inhibitors as their inapplicability to ‘undruggable’ targets and tendency to induce drug resistance. Compared with other targeted protein degraders, small-molecule hydrophobic tags (HyTs) may have a smaller number of hydrogen bond donors/acceptors, smaller molecular weights, and better pharmacokinetic profiles, thus attracting extensive attention from researchers. This review focuses on the possible mechanisms and popular types of HyTs, with special attention to the potential application value of adamantane, a typical hydrophobic tag, in the fields of cancer and neurodegeneration. In general, there are still some problems like fewer types of hydrophobic tags and insufficient research on degradation mechanisms, which still need to be further explored. This review is expected to provide researchers working in the fields of small-molecule targeted protein degraders with some valuable reference.

     

/

返回文章
返回