高级检索

UHPLC-Q-Orbitrap/MS技术鉴定阿哌沙班片的有关物质

Identification of related substances in apixaban tablets by UHPLC-Q-Orbitrap/MS

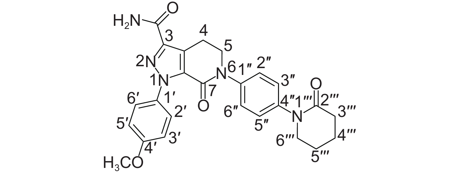
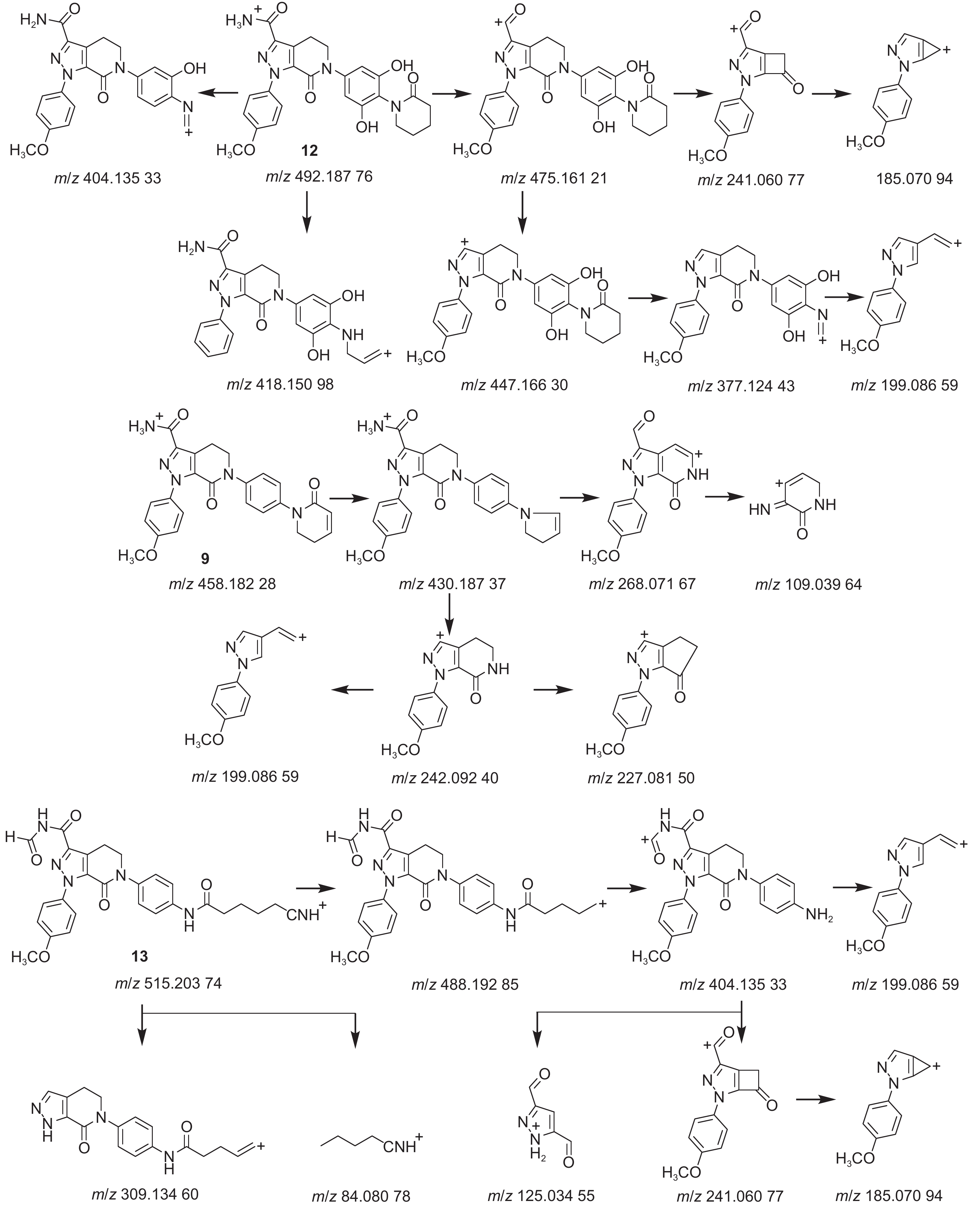
  • 摘要: 采用超高效液相色谱-四极杆-静电场轨道阱高分辨质谱(UHPLC-Q-Orbitrap/MS)技术研究阿哌沙班片中的有关物质。采用Waters Xbridge C18(250 mm×4.6 mm,5 μm)色谱柱,以30 mmol/L醋酸铵缓冲液(pH4.50)-乙腈为流动相梯度洗脱,对阿哌沙班片有关物质进行分离;电喷雾正离子化-四极杆-静电场轨道阱串联质谱法测定各有关物质的母离子及碎片离子的准确质荷比和元素组成,并解析鉴定有关物质的结构。在所建立的条件下,阿哌沙班与其有关物质分离良好,检测并鉴定出阿哌沙班片及其强制降解试验样品中30个主要有关物质,其中11个为已知杂质,其余19个为新鉴定的未知有关物质。研究结果可为阿哌沙班的生产工艺控制和质量保障提供参考依据。

     

    Abstract: A UHPLC-Q-Orbitrap/MS method was developed to identify the related substances in apixaban tablets. Complete separation was accomplished with a Waters Xbridge C18 (250 mm×4.6 mm, 5 μm) column by linear gradient elution using a mobile phase consisting of 30 mmol/L ammonium acetate buffer solution (pH 4.50) and acetonitrile. The related substances were successfully characterized through the accurate mass and elemental composition of the parent ions and their product ions determined by electrospray positive ionization high-resolution Q-Orbitrap/MS methods. Under the established analytical condition, apixaban and its related substances were well separated, and 30 related substances were detected and identified by hyphenated techniques in apixaban tablets and their stressed samples. Among them, 11 were known impurities and the rest 19 were unknown related substances identified for the first time in this study. The results obtained are valuable for apixaban manufacturing process optimization and quality control.

     

/

返回文章
返回